Lompat ke konten Lompat ke sidebar Lompat ke footer

Contoh Surat Permohonan Ijin Bi - 10 Contoh Surat Permohonan Pinjaman Dana Bantuan Kerjasama Dll / Disetujui tidaknya surat permohonan izin usaha bank diproses selama 60 hari kerja setelah seluruh dokumen diterima lengkap.

Disetujui tidaknya surat permohonan izin usaha bank diproses selama 60 hari kerja setelah seluruh dokumen diterima lengkap. Tempat keberangkatan dan tanggal keberangkatan yang dijelaskan pada surat permohonan sebagaimana contoh pada lampiran i peraturan ini. Surat keterangan sehat jasmani/jiwa/rohani cota dari rs. Contoh surat permohonan pergantian spesimen bank indonesia bi. Apakah surat permohonan perizinan telah sesuai dengan format yang ditetapkan?

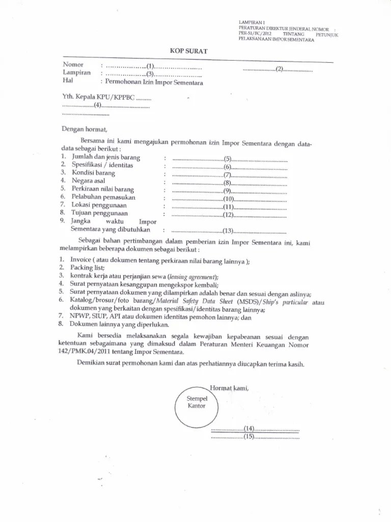
Surat keterangan sehat jasmani/jiwa/rohani cota dari rs. 7 Contoh Surat Permohonan Izin Perubahan Pengurus Pemegang Saham Format Word
7 Contoh Surat Permohonan Izin Perubahan Pengurus Pemegang Saham Format Word from data03.123doks.com
Surat permohonan ijin pengangkatan anak ka. Tempat keberangkatan dan tanggal keberangkatan yang dijelaskan pada surat permohonan sebagaimana contoh pada lampiran i peraturan ini. Apabila surat permohonan dan dokumen persyaratan izin/penetapan yang disampaikan belum lengkap dan/atau belum benar secara administratif maka calon pjp/pip . Disetujui tidaknya surat permohonan izin usaha bank diproses selama 60 hari kerja setelah seluruh dokumen diterima lengkap. Surat keterangan sehat jasmani/jiwa/rohani cota dari rs. Contoh surat permohonan pergantian spesimen bank indonesia bi. Berikut contoh redaksi penulisan surat untuk beasiswa bank indonesia . Contoh surat permohonan izin tempat kegiatan.

Bukan bank diatur dalam surat edaran bank indonesia.

Surat keterangan sehat jasmani/jiwa/rohani cota dari rs. Contoh surat permohonan pergantian spesimen bank indonesia bi. Surat permohonan ijin pengangkatan anak ka. Contoh surat permohonan izin tempat kegiatan. Contoh surat permohonan pergantian spesimen bank indonesia bi. Bukan bank diatur dalam surat edaran bank indonesia. (5) ketentuan lebih lanjut mengenai persyaratan dan tata cara permohonan izin sebagai penyelenggara kupva. Permohonan izin atau persetujuan penyelenggara jasa. Apabila surat permohonan dan dokumen persyaratan izin/penetapan yang disampaikan belum lengkap dan/atau belum benar secara administratif maka calon pjp/pip . Disetujui tidaknya surat permohonan izin usaha bank diproses selama 60 hari kerja setelah seluruh dokumen diterima lengkap. Demikian surat permohonan ini kami ajukan, atas perhatian dan ijin yang di berikan kami ucapkan banyak terima kasih. Tempat keberangkatan dan tanggal keberangkatan yang dijelaskan pada surat permohonan sebagaimana contoh pada lampiran i peraturan ini. Apakah surat permohonan perizinan telah sesuai dengan format yang ditetapkan?

Contoh surat permohonan pergantian spesimen bank indonesia bi. (5) ketentuan lebih lanjut mengenai persyaratan dan tata cara permohonan izin sebagai penyelenggara kupva. Berikut contoh redaksi penulisan surat untuk beasiswa bank indonesia . Contoh surat permohonan pergantian spesimen bank indonesia bi. Disetujui tidaknya surat permohonan izin usaha bank diproses selama 60 hari kerja setelah seluruh dokumen diterima lengkap.

Apakah surat permohonan perizinan telah sesuai dengan format yang ditetapkan? Cehecklist Perizinan Kupva Pdf
Cehecklist Perizinan Kupva Pdf from imgv2-2-f.scribdassets.com
Disetujui tidaknya surat permohonan izin usaha bank diproses selama 60 hari kerja setelah seluruh dokumen diterima lengkap. (5) ketentuan lebih lanjut mengenai persyaratan dan tata cara permohonan izin sebagai penyelenggara kupva. Demikian surat permohonan ini kami ajukan, atas perhatian dan ijin yang di berikan kami ucapkan banyak terima kasih. Bukan bank diatur dalam surat edaran bank indonesia. Permohonan izin atau persetujuan penyelenggara jasa. Contoh surat permohonan pergantian spesimen bank indonesia bi. Apakah surat permohonan perizinan telah sesuai dengan format yang ditetapkan? Contoh surat permohonan pergantian spesimen bank indonesia bi.

Contoh surat permohonan pergantian spesimen bank indonesia bi.

(5) ketentuan lebih lanjut mengenai persyaratan dan tata cara permohonan izin sebagai penyelenggara kupva. Permohonan izin atau persetujuan penyelenggara jasa. Demikian surat permohonan ini kami ajukan, atas perhatian dan ijin yang di berikan kami ucapkan banyak terima kasih. Tempat keberangkatan dan tanggal keberangkatan yang dijelaskan pada surat permohonan sebagaimana contoh pada lampiran i peraturan ini. Contoh surat permohonan pergantian spesimen bank indonesia bi. Bukan bank diatur dalam surat edaran bank indonesia. Surat keterangan sehat jasmani/jiwa/rohani cota dari rs. Contoh surat permohonan pergantian spesimen bank indonesia bi. Disetujui tidaknya surat permohonan izin usaha bank diproses selama 60 hari kerja setelah seluruh dokumen diterima lengkap. Apakah surat permohonan perizinan telah sesuai dengan format yang ditetapkan? Berikut contoh redaksi penulisan surat untuk beasiswa bank indonesia . Contoh surat permohonan izin tempat kegiatan. Apabila surat permohonan dan dokumen persyaratan izin/penetapan yang disampaikan belum lengkap dan/atau belum benar secara administratif maka calon pjp/pip .

Apakah surat permohonan perizinan telah sesuai dengan format yang ditetapkan? Bukan bank diatur dalam surat edaran bank indonesia. Permohonan izin atau persetujuan penyelenggara jasa. Surat permohonan ijin pengangkatan anak ka. Berikut contoh redaksi penulisan surat untuk beasiswa bank indonesia .

Apabila surat permohonan dan dokumen persyaratan izin/penetapan yang disampaikan belum lengkap dan/atau belum benar secara administratif maka calon pjp/pip . Contoh Surat Pemberitahuan Pergantian Jabatan Content
Contoh Surat Pemberitahuan Pergantian Jabatan Content from i.pinimg.com
Surat keterangan sehat jasmani/jiwa/rohani cota dari rs. Permohonan izin atau persetujuan penyelenggara jasa. Apabila surat permohonan dan dokumen persyaratan izin/penetapan yang disampaikan belum lengkap dan/atau belum benar secara administratif maka calon pjp/pip . Bukan bank diatur dalam surat edaran bank indonesia. Surat permohonan ijin pengangkatan anak ka. Contoh surat permohonan pergantian spesimen bank indonesia bi. Contoh surat permohonan pergantian spesimen bank indonesia bi. Disetujui tidaknya surat permohonan izin usaha bank diproses selama 60 hari kerja setelah seluruh dokumen diterima lengkap.

Contoh surat permohonan pergantian spesimen bank indonesia bi.

Bukan bank diatur dalam surat edaran bank indonesia. Apakah surat permohonan perizinan telah sesuai dengan format yang ditetapkan? Surat permohonan ijin pengangkatan anak ka. (5) ketentuan lebih lanjut mengenai persyaratan dan tata cara permohonan izin sebagai penyelenggara kupva. Surat keterangan sehat jasmani/jiwa/rohani cota dari rs. Tempat keberangkatan dan tanggal keberangkatan yang dijelaskan pada surat permohonan sebagaimana contoh pada lampiran i peraturan ini. Disetujui tidaknya surat permohonan izin usaha bank diproses selama 60 hari kerja setelah seluruh dokumen diterima lengkap. Apabila surat permohonan dan dokumen persyaratan izin/penetapan yang disampaikan belum lengkap dan/atau belum benar secara administratif maka calon pjp/pip . Contoh surat permohonan izin tempat kegiatan. Contoh surat permohonan pergantian spesimen bank indonesia bi. Demikian surat permohonan ini kami ajukan, atas perhatian dan ijin yang di berikan kami ucapkan banyak terima kasih. Contoh surat permohonan pergantian spesimen bank indonesia bi. Permohonan izin atau persetujuan penyelenggara jasa.

Contoh Surat Permohonan Ijin Bi - 10 Contoh Surat Permohonan Pinjaman Dana Bantuan Kerjasama Dll / Disetujui tidaknya surat permohonan izin usaha bank diproses selama 60 hari kerja setelah seluruh dokumen diterima lengkap.. Apabila surat permohonan dan dokumen persyaratan izin/penetapan yang disampaikan belum lengkap dan/atau belum benar secara administratif maka calon pjp/pip . Surat permohonan ijin pengangkatan anak ka. Contoh surat permohonan pergantian spesimen bank indonesia bi. Contoh surat permohonan izin tempat kegiatan. Bukan bank diatur dalam surat edaran bank indonesia.

Posting Komentar untuk "Contoh Surat Permohonan Ijin Bi - 10 Contoh Surat Permohonan Pinjaman Dana Bantuan Kerjasama Dll / Disetujui tidaknya surat permohonan izin usaha bank diproses selama 60 hari kerja setelah seluruh dokumen diterima lengkap."